大容量動力型超級電容器存儲性能
摘 要: 超級電容器的電荷存儲能力受多個因素的影響。以商品化的大容量動力型超級電容器為研究對象,從充電電流、充電電壓、恒壓時間、存儲溫度和電解液體系5個方面對超級電容器單體的電壓保持能力進行系統研究。結果表明,較低的充電電流、充電電壓和環境溫度以及較長的恒壓時間有利于電荷儲存,單體電壓保持能力較好。此外,當使用的電解質鹽相同時(四氟硼酸四乙基銨,TEA-BF4),碳酸丙烯酯(PC)溶劑基電解液體系的電壓保持能力較好;而當使用的溶劑相同時(PC基體系電解液時),相同濃度的TEA-BF4電解液電壓保持能力比四氟硼酸螺環季銨鹽(SBP-BF4)電解液好。
關鍵詞: 超級電容器;存儲性能;自放電;電壓保持能力;電壓;溫度
現代社會對可再生能源的需求使得儲能裝置在能源有效利用的過程中起到了重要作用。近年來,超級電容器(SC)由于其高功率密度和長循環壽命而被廣泛應用于各個領域,如儲能式有軌電車、混合動力汽車、港口機械等。然而,其應用仍然有限,原因之一便是受制于其固有的快速自放電。超級電容器的自放電是在未連接到電源的情況下會逐漸出現電壓下降和能量損失的現象。要解決或減輕自放電問題是一項具有挑戰性的任務,因為自放電的機制是多樣的且尚未被完全理解。目前科研人員研究了各種超級電容器模型下的自放電現象,但是針對商業化大容量動力型超級電容器單體的自放電研究十分匱乏。本文通過改變充電電流、恒壓時間、充電電壓、環境溫度和電解液體系等5個因素,探究各個因素對超級電容器單體電壓保持能力的影響,考察了1~150 d的超級電容器電壓保持能力,從而找到更好的充電方法,旨在改善商業化單體的自放電現象。
1 實 驗
選取商品化產品2.7 V/9500 F動力型超級電容器單體作為研究對象。采用超級電容器測試儀PNE對電容器進行充放電測試。標準測試過程為200 A恒流充電至截止電壓2.7 V,恒壓0.5 h,然后在25 ℃恒溫條件下靜置,用歐姆表測試單體兩端電壓測試電壓保持能力。考察超級電容單體不同充電電流的電荷儲能能力,設計充電電流為300、250、200、150、100、50、20、10、5、2、1 A。考察單體不同充電時間的電荷儲能能力,設計充電恒壓時間為0.5、1、3、6、10 h。考察單體不同電壓下的電荷儲能能力,設計充電截止電壓為2.0、2.3、2.5、2.7、2.85 V。考察單體在不同溫度下的電荷儲能能力,將其置于環境溫度箱,設計溫度為25、45、55、65 ℃。考察單體在不同電解液體系的電荷儲能能力,設計不同電解液(TEA-BF4/AN、TEA-BF4/PC和SBP-BF4/PC)。
2 結果與討論
2.1?充電電流對電壓保持能力的影響
表1是充電電流為300 A和1 A,不同電壓單體的自放電(SD,24 h)。從表中可以看出,充電電流為300 A時,充電截止電壓為2.0、2.3、2.5、2.7和2.85 V的單體的SD依次為298.7、319.7、391.0、473.4和575.1 mV;充電電流為1 A時,單體的SD依次為41.6、51.2、62.7、93.4和118.3 mV。圖1為不同充電電流不同電壓SD(24 h)測試,可以看出,在充電電流比較高的情況下(≥100 A),電容器單體的SD隨充電電流的降低減小得較多。在充電電流比較低的情況下(<100 A),電容器單體的SD隨充電電流的降低減小得較少,都保持在比較低的數值。這是由于充電電流較高時,電解質離子不能充分進入到電極炭材料內部和較窄的孔隙中,充電電流較低時,電解質離子可以充分進入電極炭材料微孔中,SD較小。單體的SD隨充電電流的減小而減少,電壓保持能力隨充電電流的減小而增加。
表1 充電電流為300 A和1 A,不同電壓單體的SD(24 h)
圖1 不同充電電流不同電壓SD(24 h)測試(充電電流由300~1 A,測試溫度25 ℃)
2.2 恒壓時間對電壓保持能力的影響
圖2為不同恒壓充電時間單體24 h SD測試曲線。
從圖中可以看出,恒壓充電時間越長,單體SD越小,當恒壓充電時間為0.5 h,單體SD為194.7 mV,當恒壓充電時間為10 h,單體SD為85.2 mV。這主要是由于恒壓時間長,電解質離子能充分進入活性炭內部和較窄的孔隙中。去掉外加電源后,這部分電解質離子回到電解液中的較少。若不考慮電力損耗因素,可通過提高單體恒壓充電時間以降低單體的SD。
圖2 不同恒壓充電時間單體SD(24 h)測試(充電電流200 A, 充電截止電壓為2.7 V,測試溫度為25 ℃)
2.3 充電電壓對電壓保持能力的影響
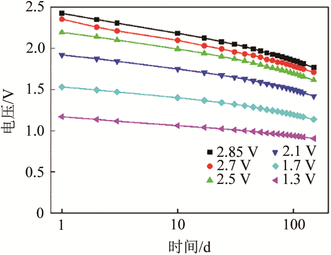
圖3為不同充電電壓下單體開路電壓測試曲線(25 ℃)。從圖中可以看出,在不同充電電壓下的單體端電壓均隨靜置時間的對數而線性減少,也就是說,單體自放電過程中的電壓衰減可以用指數數學模型計算。如表2所示不同充電電壓下單體開路電壓測試數據可以看出,靜置1 d,充電截止電壓為2.85 V、2.7 V、2.5 V、2.1 V、1.7 V和1.3 V的單體端電壓依次為2.42 V、2.35 V、2.19 V、1.81 V、1.53 V和1.17 V;靜置150 d,單體端電壓依次為1.76 V、1.71 V、1.61 V、1.42 V、1.13 V和0.90 V。相同靜置時間,初始充電截止電壓越高,單體的端電壓越高,其中充電電壓為2.85 V的單體端電壓最高。主要是由于充電電壓高,單體充滿電狀態需要吸附更多的電解質離子,在電極/電解液界面累積更多的電解質離子。當去掉外部電源時,沒有電場的束縛,從電極表面脫附的電解質離子數目越多,電壓降低得越多,電壓保持能力越低。目前商業化超級電容產品的SD在2.7 V測定。因此,可通過適當降低單體充電截止電壓提高單體電壓的保持能力。
圖3 不同電壓下單體靜置電壓保持能力測試(25 ℃,充電電流200 A)
表2 不同充電電壓下單體開路電壓測試數據
2.4 溫度對電壓保持能力的影響
圖4為不同溫度下單體靜置電壓保持能力測試曲線。從圖可以看出在不同的溫度下靜置的單體的端電壓和電壓保持率隨靜置時間的對數而線性減少。表3為不同溫度下單體靜置開路電壓測試數據,65、55、45和25 ℃溫度下的單體靜置1 d端電壓依次為1.87、2.03、2.11和2.42 V,電壓保持率依次為65.9%、71.2%、73.8%和85.0%;靜置150 d,單體端電壓依次為0.90、1.10、1.30和1.76 V,電壓保持率依次為31.6%、38.5%、45.5%和61.9%。相同的靜置時間,環境溫度越高,單體的端電壓越低,電壓保持能力越低,單體的自放電越快。這主要是與環境溫度有關,溫度越高電荷運動能力越強,使得單體電荷保持能力越低。同時溫度越高,越容易發生氧化還原反應,引起漏電流增大。隨著靜置時間增加,單體端電壓減少變慢,趨于穩定。
圖4 不同溫度下單體靜置電壓保持能力測試(充電電流200 A,充電截止電壓2.85 V,恒壓0.5 h)
表3 不同溫度下單體靜置開路電壓測試數據
2.5 電解液體系對電壓保持能力的影響
圖5為不同電解液體系單體靜置電壓保持能力測試曲線。從圖可以看出,在不同的電解液體系中單體的端電壓隨靜置時間的對數而線性減少。當單體使用電解液為相同電解質鹽而溶劑不同(即TEA-BF4/AN和TEA-BF4/PC)時,單體的端電壓隨靜置時間減少的線性直線的斜率近似相同,在相同的靜置時間,使用TEA-BF4/PC電解液單體的端電壓較高,這主要與電解液的電導率相關。而使用相同溶劑和不同電解質鹽組成的電解液(即SBP-BF4/PC和TEA-BF4/PC)時,單體的端電壓隨靜置時間減少的線性直線的斜率相差較大,這主要是由于不同電解質鹽在相同溶劑中的活度不同。
圖5 不同電解液體系單體靜置電壓保持能力測試曲線(充電電流200 A,充電截止電壓為2.7 V,恒壓0.5 h,測試溫度為25 ℃)
3 結 論
超級電容器單體的SD隨充電電流的降低而減小,當充電電流降至100 A以下時,該減小趨勢變緩。單體的SD隨著恒壓充電時間的增加而減小。單體端電壓均隨靜置時間的對數而線性減少,相同靜置時間,初始充電截止電壓越高,單體的端電壓越高,其中充電電壓為2.85 V的單體端電壓最高。在相同的靜置時間,溫度越高,單體的自放電越快,電壓保持能力越低。此外,使用相同電解質鹽的電解液中,基于PC電解液體系單體的SD比基于AN體系更小;而使用相同溶劑的電解液,基于TEA-BF4/PC電解液單體的SD比SBP-BF4/PC的更小。
引用本文: 陳雪龍,張希,許傳華等.大容量動力型超級電容器存儲性能[J].儲能科學與技術,
北京柏艾斯科技是專業的電流電壓傳感器廠家,掌握霍爾磁通門等多種技術原理,為眾多國內外用戶提供OEM和ODM服務,更多產品應用請登錄公司網站了解更多,www.xm-yzy.com.
上一篇:2021光伏將新增多少裝機? 下一篇:20萬噸退役電池:現實、謊言與利益的共謀
- 2023-10-25運算放大器知識經典問答
- 2023-10-20運算放大器知識經典問答
- 2023-10-18運算放大器知識經典問答
- 2023-10-16運算放大器知識經典問答
- 2023-10-13運算放大器知識經典問答
- 2023-10-11運算放大器知識經典問答
責任編輯:柏艾斯編輯部
版權所有:http://www.xm-yzy.com 轉載請注明出處
本文標簽:電流變送器 電流傳感器 電壓傳感器 電壓變送器 功率變送器 羅氏線圈
熱點聚焦
24小時定制電話:010-89494921






